微分方程

微分方程
XingJiのBlog一阶微分方程
题目拿到手,首先要对题目类型进行分类,根据题目类型,我们可以将题目分为以下几类:
- 变量可分离型
 - 齐次微分方程
 - 一阶线性微分方程
 - 积分方程
(了解) - x(y)型方程
(了解) 
题型辨别:
题型总结:
变量可分离型
**
解题步骤**:
例题:
练习题:
1.
2.
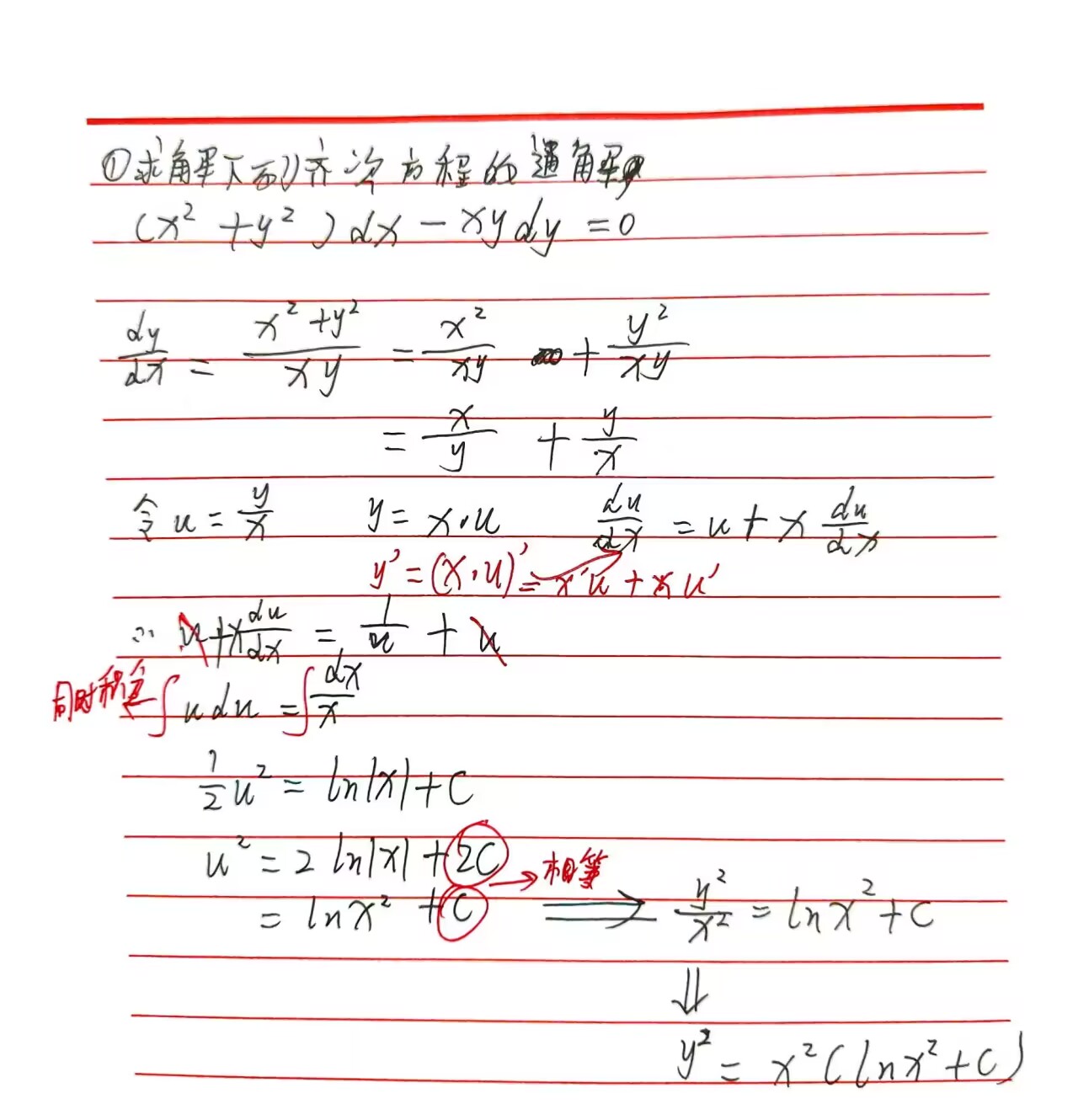
齐次微分方程
**
解题步骤**:
例题:
练习题:
1.
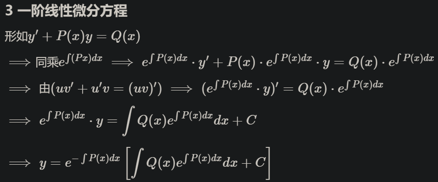
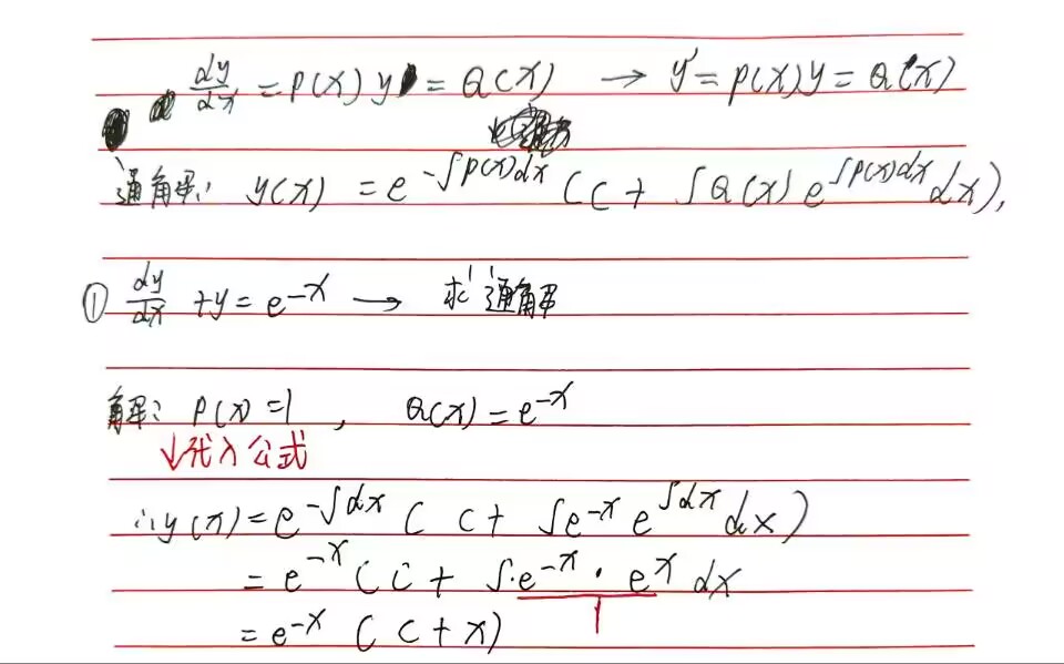
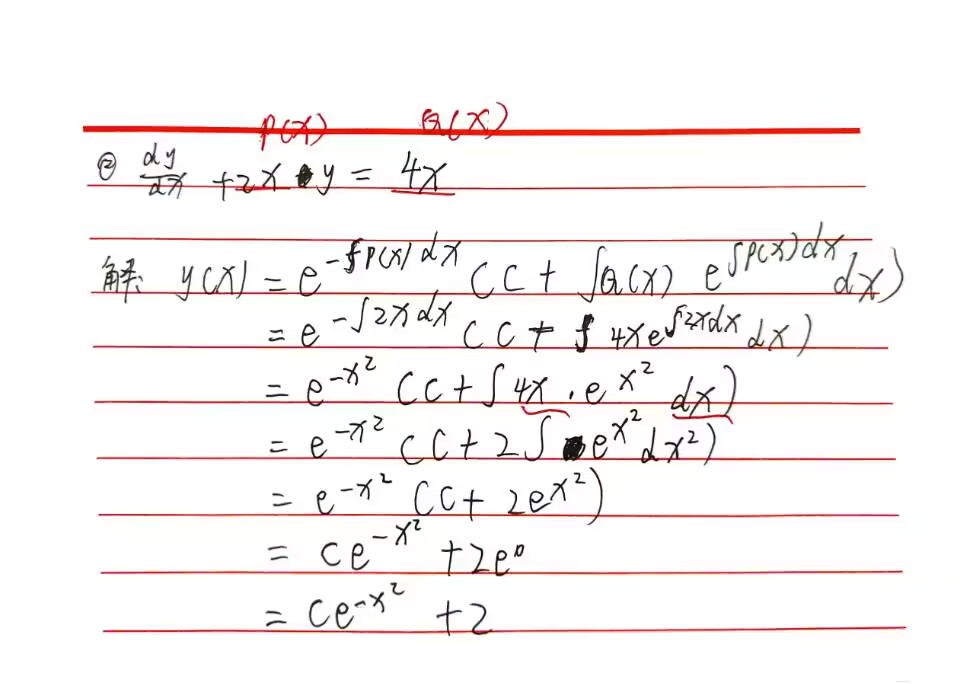
一阶线性微分方程
公式推导:
解题步骤:
例题:
练习题:
1.
1.
积分方程(了解)
解题步骤:
例题:
x(y)型方程
**
解题步骤**:
例题:
二阶微分方程
题目拿到手,首先要对题目类型进行分类,根据题目类型,我们可以将题目分为以下几类:
- 可降阶的二阶微分方程
(了解) - 二阶常系数齐次线性微分方程
 - n阶常系数齐次线性微分方程
(了解) - 二阶常系数非齐次线性微分方程
(了解) 
题型总结:
可降阶的二阶微分方程(了解)
题型1:
例题:
练习题:
题型2:
例题:
练习题:
题型3:
例题:
练习题:
二阶常系数齐次线性微分方程
**
解题步骤**:
例题:
n阶常系数齐次线性微分方程(了解)
**
解题步骤**:
例题:
二阶常系数非齐次线性微分方程(了解)
题型1:
解题步骤:
例题:
题型2:
解题步骤:
例题:
 评论
匿名评论隐私政策
✅ 你无需删除空行,直接评论以获取最佳展示效果












































